AFA Documentation
Breadcrumbs

Beta

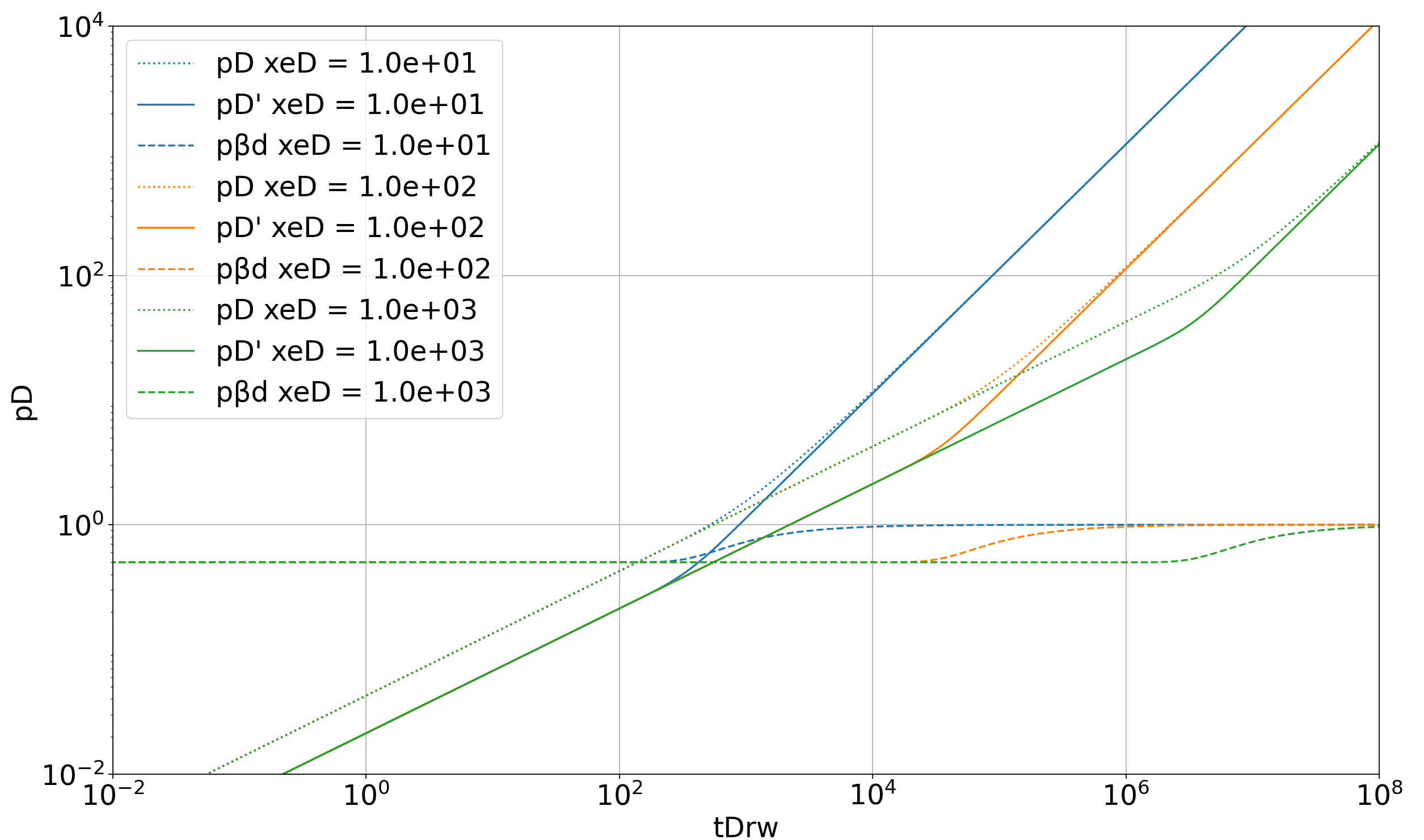
The Beta-derivative function is show below where p’D is the Bourdet (Well Testing) derivative.


Beta-derivative function

The Beta-derivative function can commonly be used to identify the following flow regimes:

CPG value

Flow Regime

1/2

Linear

1

Boundary-dominated (no flow boundary)

image-20230612-043959.png
Plot of the Normalized Pressure, Bourdet derivative and the Beta-derivative function for the linear model
image-20230612-044755.png
Plot of the Normalized Pressure, Bourdet derivative and the Beta-derivative function for the radial model

References

  • Hosseinpour-Zoonozi, Nima (2006). Development of the beta-pressure derivative. Master's thesis, Texas A&M University. Texas A&M University.

  • Shahamat, M. S., Mattar, L.. , and R.. Aguilera. "Analysis of Decline Curves Based on Beta Derivative." Paper presented at the SPE Western North American and Rocky Mountain Joint Meeting, Denver, Colorado, April 2014.

  • Idorenyin, E.. , Okouma, V.. , and L.. Mattar. "Analysis of Production Data Using the Beta-Derivative." Paper presented at the Canadian Unconventional Resources Conference, Calgary, Alberta, Canada, November 2011.

  • Ilk, D., Hosseinpour-Zonoozi, N., Amini, S., and T. A. Blasingame. "Application of the ß-Integral Derivative Function to Production Analysis." Paper presented at the Rocky Mountain Oil & Gas Technology Symposium, Denver, Colorado, U.S.A., April 200