AFA Documentation
Breadcrumbs

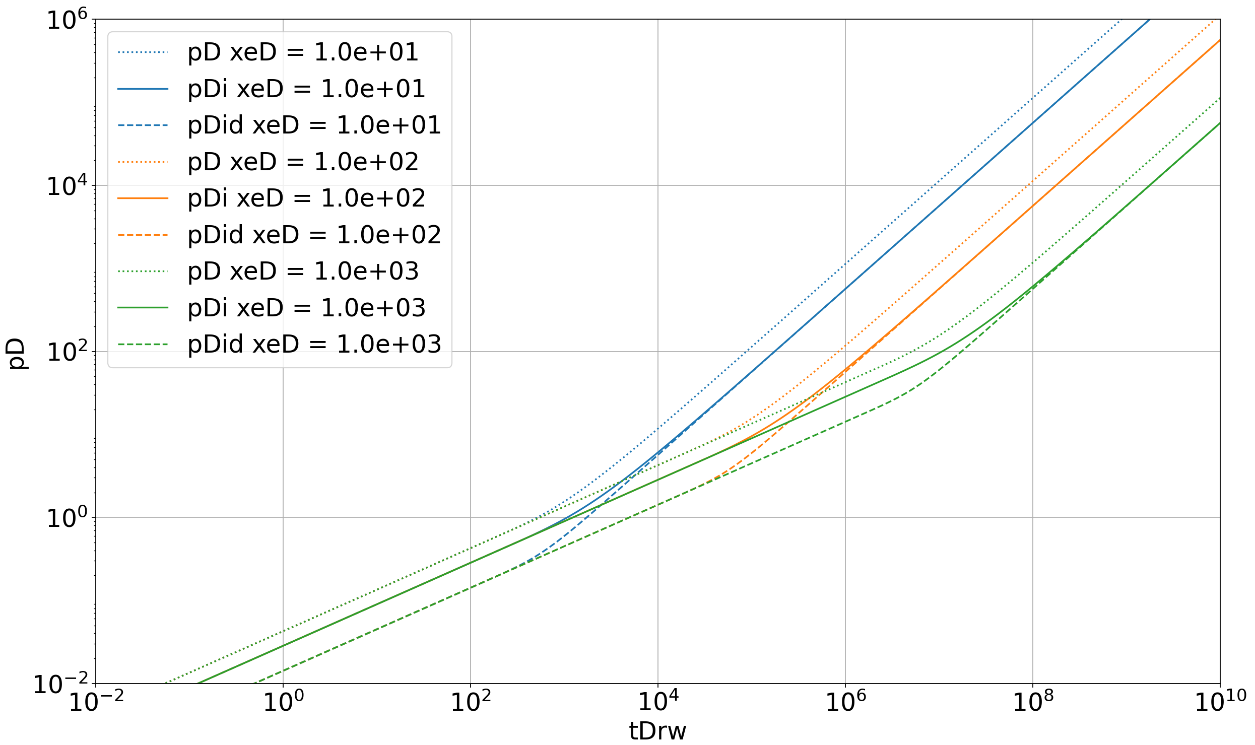
Normalized Pressure Integral (NPI)

Introduction

The NPI plot is a log-log plot of the Normalized pressure and the following two parameters against dimensionless time:

1

Normalized Pressure Integral

2

Normalized Pressure Integral Derivative

Noisy data can cause difficulty in calculating the Bourdet (Well Testing) derivative. The NPI derivative allows for a smoother derivative function. the NPI derivative can be used to identify the flow regimes in the same manner as the Bourdet (Well Testing) derivative

Similarly with the Blasingame analysis, we need to do some approximation in the early time to evaluate the NPI integral.

in the region tD <= tD0 we use the following power law approximation for skin <=0:

the NPI values for the data are calculated with the following equation, where the firs integral evaluated using the model curves.


For skin > 0 we use the following approximation:

NPI derivative slope

Flow Regime

1/2

Linear

0

Radial

-1/2

Spherical

1

Boundary-dominated (no flow boundary)

image-20230612-042552.png
Example of the NPI plot for the radial model
image-20230612-043158.png
Example of the NPI plot for the linear model