AFA Documentation
Breadcrumbs

Gas Viscosity

Introduction

Viscosity is defined as the resistance to flow exerted by a fluid (I.e., the resistance of a specific fluid). The viscosity is usually measured in centipoise (cp=g/100 s cm). The centipoise is a unit for measuring dynamic viscosity. Dynamic viscosity is of particular interest to reservoir and production engineers as it is a reflection of resistance of the fluid to flow. Kinematic viscosity, or static viscosity, is calculated by dividing the dynamic viscosity by density. Kinematic viscosity is measured in centistokes = cp/(g/cm3)

Values of gas viscosity are low. They increase with increasing density of gas. Viscosity of gas is difficult to measure in the laboratory, and so engineers typically rely on correlations to estimate it.

The plot below was generated for the following gas viscosity correlations at a specific gravity of 0.65 and a temperature of 180 oF.

  • Londono et al. (2002/2005)

  • Standing (1947)

  • Gonzales and Eatkin

A comparison of the various correlations presented here is shown below:

Viscosity2.png


The typical behaviour of gas viscosity at different temperature and pressures is shown below.

Viscosity.png
Gas Viscosity Correlations using DPK z-factor correlation (SG =0.65)


Standing Correlation

The standing correlation is shown below:

image-20230905-232135.png


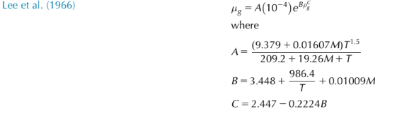
Lee et al Correlation

The lee correlation is shown below:

image-20230905-232233.png



References:

  • Coming Soon!