AFA Documentation
Breadcrumbs

Gas Recombination Technique

PVT Properties for Wet Gas

There are different approaches to estimate pseudo-critical properties of wet gas. However, as stated before most of these techniques requires composition of the gas. For a wet gas, the composition of the gas in the surface is not the same as in reservoir. At surface (separator) conditions, part of the gas condensates, and this changing in phase needs to be account and evaluate to estimate the pseudo-critical properties of the gas that were in reservoir. In most of wet gas fields, two-stage separation system is applied.

Recombination Technique - Practical Two-Stage Separation

When there is no information about surface fluids (gas and condensate) compositions, the specific gravity of the reservoir gas can be predicted by a technique named recombination, where the inputs are gas-oil ratio (GRO) or condensate-gas ratio (CGR), specific gravity of the gas in the separator, API gravity of the stock-tank condensate, and the conditions of the separator. For practical two-stages separation, Gold et al. (1989) developed a correlation that predicts gas specific gravity based on information only of the primary separator, as following:

where

where

- vapor equivalent of separator 1 - [scf/STB];

- additional gas production from the stock-tank - [scf/STB]

- temperature of separator 1 - [oF];

- pressure of separator 1 - [psia];

- specific gravity of separator 1 - [ - ];

- condensate-gas ratio - [STB/MMscf];

and the constants of the model are shown in the table below:

Value

Value

1

1.4599

0

635.53

2

1.3394

1

0.36182

3

7.0943

2

1.0544

4

1.1436

3

5.0831

5

-0.93446

4

1.5812



5

-0.7913

After calculate the specific gravity of the recombined gas using the Practical Two-Stage Separation method, the pseudo-critical properties can be calculate using Standing 1977 correlation or any other correlation that uses as a input gas specific gravity.

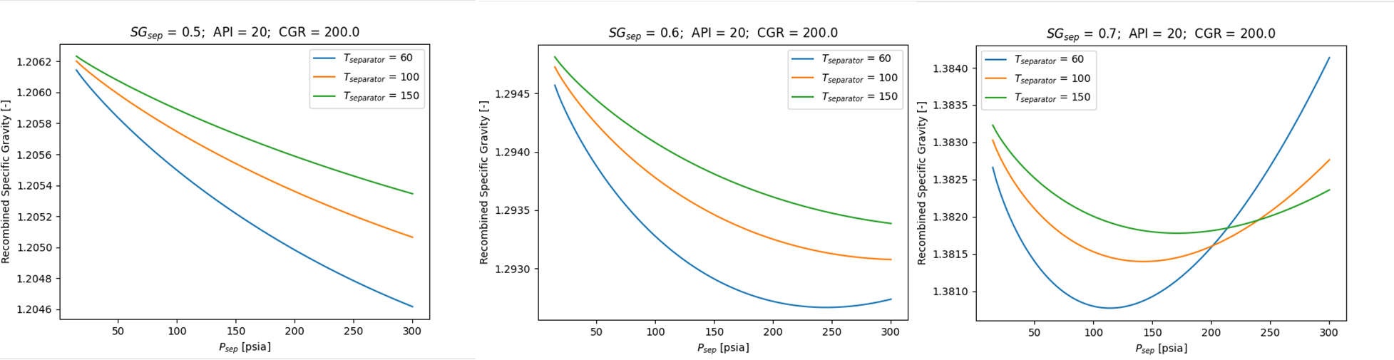
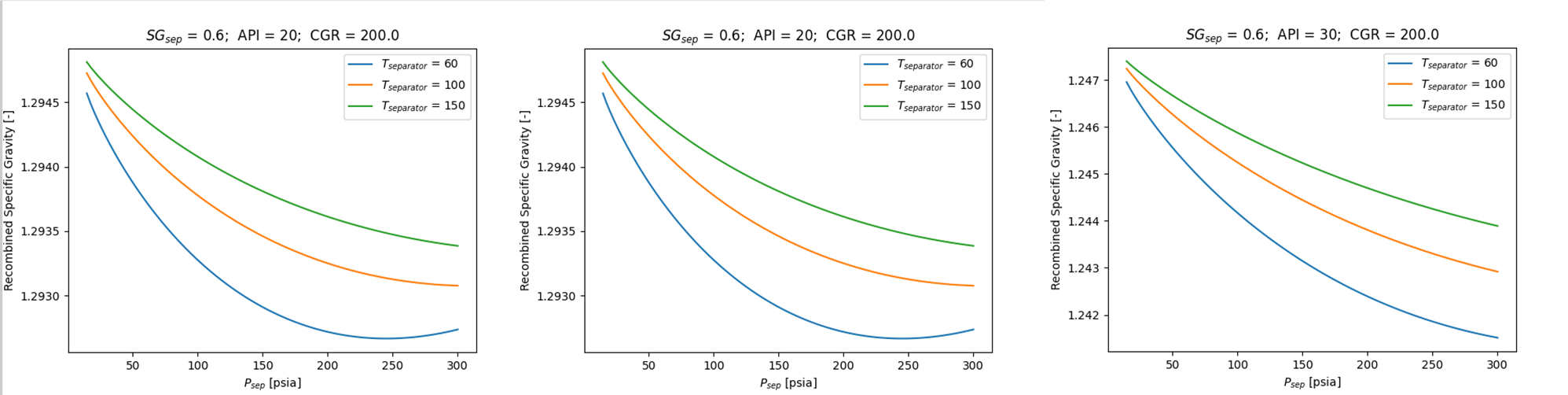
Usually the separator pressure and temperature changes a lot for different regions and most of the time engineers do not know exactly the values of the separator pressure and temperature. Therefore, a sensitivity analysis for estimation of recombined specific gravity was done as shown in figures below. The results show that a variation of separator pressure from 14.7 to 300 psia and temperature from 60 to 150 oF do not affect significantly the recombined specific gravity. Therefore, for recombination technique calculation, we assume separator pressure and

Recombined Specific Gravity analysis related to:

  • Separator Pressure

  • Separator Temperature

  • Separator Specific Gravity

image-20230726-064446.png

Recombined Specific Gravity analysis related to:

  • Separator Pressure

  • Separator Temperature

  • Condensate API

image-20230726-064533.png

Recombined Specific Gravity analysis related to:

  • Separator Pressure

  • Separator Temperature

  • CGR

image-20230726-064600.png


References

  • El-Banbi, Ahmed / Alzahabi, Ahmed / El-Maraghi, Ahmed  PVT Property Correlations: Selection and Estimation, 2018, Gulf Professional Publishing.

  • Ahmed, Tarek, Equations of State and PVT Analysis: Applications for Improved Reservoir Modelling, 2007, Gulf Publishing